• Информируем вас, что с 1 января 2024 года оценки и расписание доступны в новой версии Электронного образования по адресу ms-edu.tatar.ru. В данной версии электронного дневника вы можете продолжать смотреть ранее полученные оценки.
    С более подробной информацией можно ознакомиться на сайте: info.edu.tatar.ru.

Электронное образование Республики Татарстан

Расписание не найдено

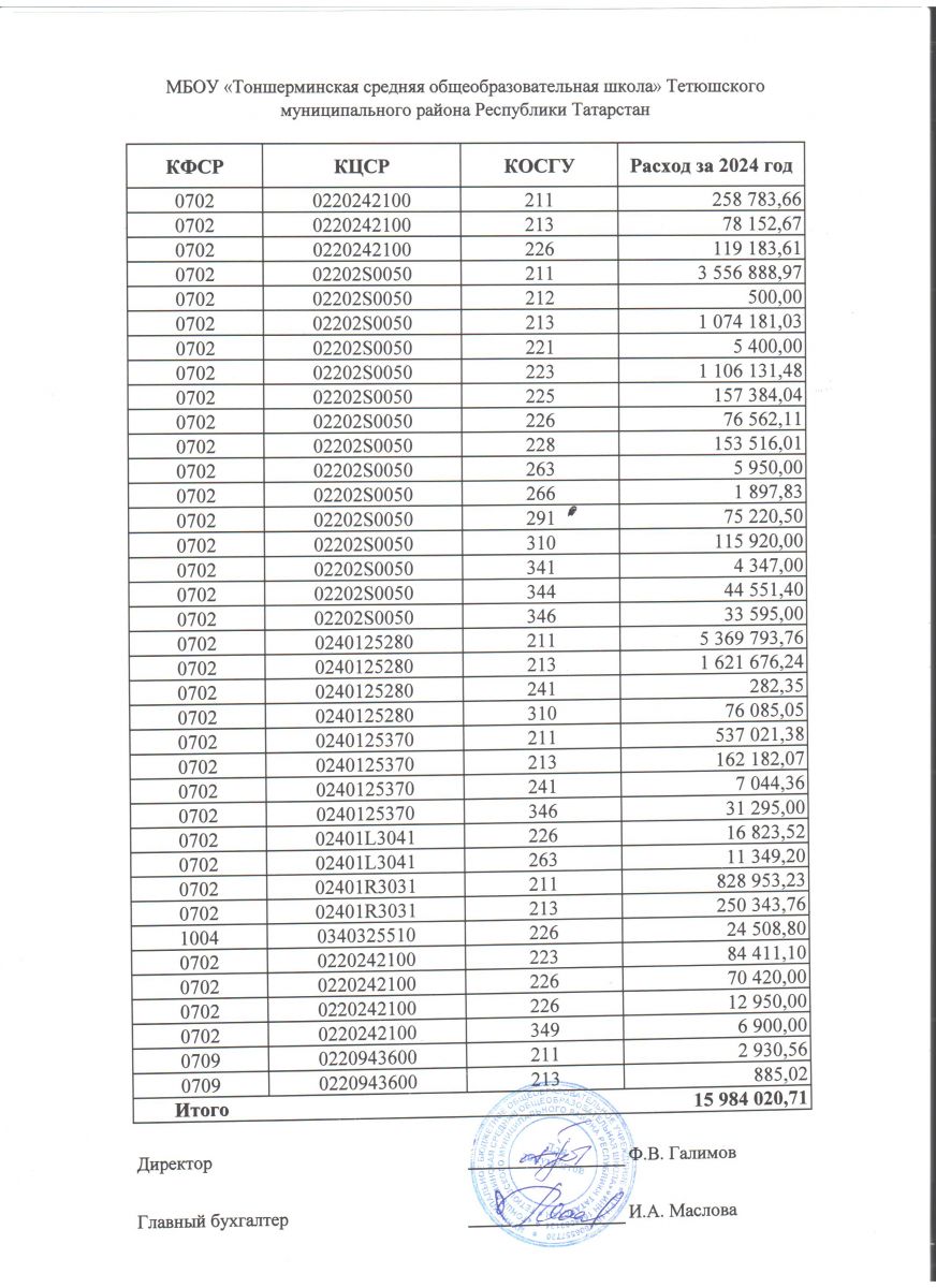
Муниципальное бюджетное общеобразовательное учреждение «Тоншерминская средняя общеобразовательная школа» Тетюшского муниципального района РТ/Татарстан Республикасы Тәтеш муниципаль районы "Тоншерма урта гомуми белем бирү мәктәбе" муниципаль бюджет гомуми белем бирү учреждениесе

Решаем вместе
Есть предложения по организации учебного процесса или знаете, как сделать школу лучше?

Визитная карточка

Адрес: 422377, Республика Татарстан, Тетюшский район, с. Тоншерма, ул. Ленина, д. 54
Телефон: +7(843)-735-62-19
E-Mail: Ston.Tet@tatar.ru
Министерство: Министерство образования и науки Республики Татарстан
Короткое название: МБОУ "Тоншерминская СОШ"
Руководитель: Галимов Фагим Вильданович
Год основания учреждения: 1976
У нас учатся: 15
У нас учат: 13